긴장했습니다. 도롱뇽입니다.

전공/전자회로설계1

PN 접합

긴장한도롱뇽 2024. 4. 21. 23:52

1.2 PN접합 다이오드

 

 

 

 

바이어스란?

PN접합에 흐르는 전류를 조절하기 위해 DC전압을 인가하는 것

 

  • 순방향 바이어스 : 애노드>캐소드, 내부 전위장벽을 낮춰 전류가 잘 흐르도록
  • 역방향 바이어스 : 애노드<캐소드, 내부 전위장벽을 높여 전류가 흐르지 못하도록

 

Q. PN 접합 다이오드의 전류 흐름 특성은 어떠한가?

A: 순방향 바이어스는 애노드에서 캐소드로 전류가 흐른다.

   역방향 바이어스는 전류가 흐르지 않는다.(매우 작은 누설전류만 흐름)

 

 

 


1.3 PN접합 다이오드의 등가모델

 

PN접합 다이오드의 등가모델은 DC(대신호)등가모델과 AC(소신호)등가모델로 구분된다.

 

DC등가모델

  • 이상적 등가모델

 

  • 정전압 등가모델

  • 부분선형 등가모델

 

Q. PN접합 다이오드의 등가모델을 회로 해석에 적용했을 때, 결과가 가장 정확한 모델은?

A. 부분선형 등가모델

 

 

 

 

AC등가모델

  • 소신호 동작

  • 소신호 증분저항(등가저항)

  • 소신호 해석

: 다이오드를 소신호 등가저항 𝒓𝒅로 모델링

 

 

 

Q. PN접합 다이오드의 등가저항 r_D와 r_d의 차이점은?

A.  r_D: 부분선형 등가모델의 순방향 등가저항

      r_d: 소신호 등가저항

 

 


 

1.4 PN접합 다이오드 응용회로

 

1. 반파 정류회로

: 교류신호의 양(+) 또는 음(-)의 번주기만 통과시키고, 나머지 반주기는 차단하는 정류기

 

  • 양의 반주기를 출력하는 반파 정류회로

 

 

 

  • 음의 반주기를 출력하는 반파 정류회로

 

 

  • 피크 역전압 (PIV)

: PN접합 다이오드에 역방향으로 인가될 수 있는 한계 전압이다. 다이오드가 안전하게 작동하기 위해서는 역방향으로 인가되는 전압이 PIV보다 작아야한다. 반파정류회로에서 입력신호의 반 주기 동안 다이오드에 역방향 전압이 인가되므로 PIV를 고려해서 다이오드를 선택해야한다. 피크 역전압은 입력신호의 진폭이다.

 

Q. 진폭이 V_m < Vr인 정현파를 반파 정류 할 수 있는가?

A. 다이오드가 차단되어 출력이 0이된다. 따라서 정현파의 진폭이 다이오드의 커트-인 전압보다 커야 반파 정류가 가능하다.

 

 

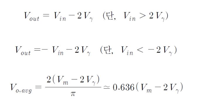
2. 전파 정류회로

: 입력전압의 양과 음의 반 주기를 모두 통과시켜 전체 주기 동안 출력이 얻어지는 회로

  • 브릿지 전파 정류회로

 

 

 

  • 중앙 탭 변압기를 이용한 전파 정류회로

 

 

 

 

 

  • 커패시터 평활회로를 갖는 전파 정류회로

 

Q. 커패시터 평활회로의 시상수는 출력전압의 리플 크기에 어떤 영향을 미치나?

A. 시상수가 클수록 커패시터 방전속도가 느리므로, 출력전압의 리플 크기가 작아진다.

 

 

3. 리미터 회로

: 신호의 진폭을 미리 정한 기준 레벨로 제한하는 회로 

 

병렬형 리미터

; 다이오드가 신호원과 병렬로 연결된 형태

  • 병렬형 양 리미터 회

 

  • 병렬형 음 리미터 회로

 

  • 병렬형 양방향 리미터 회로

 

직렬형 리미터

; 다이오드가 신호원과 직렬로 연결된 형태

 

 

  • 직렬형 양 리미터 회로

 

 

  • 직렬형 음 리미터 회로

 

 

4. 클램프 회로

: 신호를 특정 DC 전압만큼 이동시키는 회로. 입력신호의 파형을 변화시키지 않고 DC 레벨을 조정

 

 


 

 

1.5 제너 다이오드

 

제너 다이오드

: 임계 역방향 전압 근처에서 큰 역방향 항복 전류가 흐르는 제너 항복(Zener breakdown) 현상을 이용하는 소자(정전압을 얻기 위한 회로나 장치에 사용)

 

 

제너 다이오드의 등가모델 

: 제너 항복영역에서 전류-전압 특성에 대한 근사화

 

  • 이상적 등가모델

: 제너전압 𝑽𝒁에서 무한대의 전류가 흘러 제너 다이오드의 저항성분을 0으로 근사화시킨 것.

  캐소드와 애노드 사이에 𝑽𝒁 의 정전압으로 모델링

  • 부분 선형 등가모델

: 제너 항복영역에서 역방향 전압의 증가에 따른 전류 증가를 직선(𝟏/𝒓𝒁 )으로 근사화시킨 것

 

  • 정전압 회로

: 부하저항 𝑹𝑳이나 입력전압이 일정한 범위 내에서 변하더라도 출력전압은 일정하게 유지됨

Q. 제너전압 V_z와 커트-인 전압 V_r는 어떤 차이점을 갖는가?

A. 제너전압 V_z : 역방향 임계전압

    커트-인 전압 V_r : 순방향 임계 전압

   = 서로 반대 극성을 갖는다.

 

 

Q. 제너 다이오드 정전압 회로가 올바르게 동작하기 위한 조건은 무엇인가? 

A. 입력전압의 최솟값(V_s,min)이 제너전압(V_z)보다 커야한다. (V_s,min > V_z )

    입력전압의 최솟값(V_s,min), 부하전류의 최댓값(I_l,max)에 대해 제너다이오드 전류(I_z)는 최소 항복전류(I_zk)보다 커야한다

    입력전압의 최댓값 (V_s,max) , 부하전류의 최솟값 (I_l,min) 에 대해, 제너 다이오드 전류의 최대값 (I_z,max) 은 정격전류 (I_zm) 보다 작아야한다.